Mutagenese


Salpetrige Säure

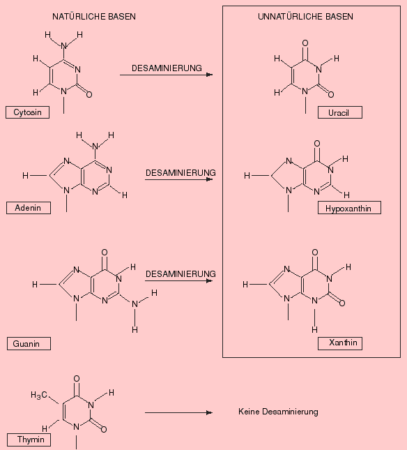
Salpetrige Säure (HNO2) ist Katalysator bei diversen Umwandlungsreaktionen: So entstehen durch Abspaltung von NH3 (Desaminierung) und anschliessender Isomerisierung aus Cytosin Uracil, aus Adenin Hypoxanthin und aus Guanin Xanthin,wie untenstehende Formeln zeigen:
Bildquelle: Alberts et al,: "Molekularbiologie der Zelle", VCH, 2. Auflage 1990, ISBN 3-527-27983-0
und 3. Auflage 1995, ISBN 3-527-30055-4


top

 

Mutagenese

Übersicht: Mutationen