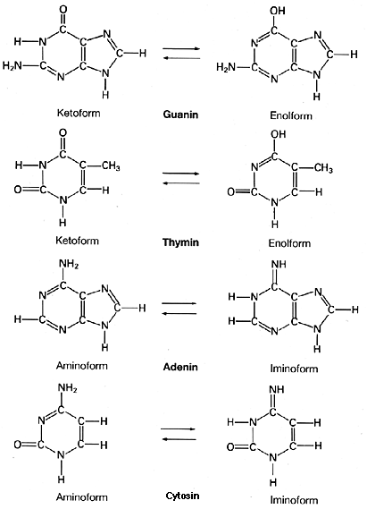
Chemie der Basen


Tautomere Formen


Bildquelle: Brown, Terence A.: "Moderne Genetik - eine EinfŸhrung",
Spektrum Akademischer Verlag 1993, ISBN 3-86025-180-5


top

 

Chemie der Basen
Menü:
Chemie der Nukleinsäuren