Chemie der Basen


Vier Basen sind am Aufbau der DNA beteiligt, nämlich Adenin (A), Guanin (G) [Purin-Derivate], Cytosin (C) und Thymin (T) [Pyrimidin-Derivate]. RNA enthält Uracil (U) an Stelle von Thymin.

Die Purin- und Pyrimidinbasen sind planar und hydrophob. Sie bestehen aus heterocyclischen Ring-Verbindungen, welche Stickstoff und Kohlenstoff enthalten und periphere apolare Kohlenwasserstoff- und Stickstoffwasserstoff-Gruppen tragen. Sie werden als Basen bezeichnet, weil sie bei physiologischem pH H+ anlagern. C, T und U sind einfache Derivate eines Pyrimidin-Sechsringes, A und G sind Purin-Verbindungen (ein Fünfring mit dem Sechsring kondensiert). Das Absorptionsmaximum dieser Basen liegt bei 260 nm, also im UV-Bereich.

Formeln
X
Bildquelle: Alberts et al,: "Molekularbiologie der Zelle", VCH,
2. Auflage 1990, ISBN 3-527-27983-0 und 3. Auflage 1995,
ISBN 3-527-30055-4


Synthese und Abbau der Pyrimidine
X
Die Biosynthese der Pyrimidine erfolgt in 3 Phasen:

1. Durch die cytoplasmatische Carbamoylphosphat-Synthetase II wird Carbamoylphosphat gebildet:


Carbamoylphosphat-Synthetase II
2 ATP + Glutamin + CO2 + H2O -> 2 ADP + Glutamat + Carbamoyl-P


Carbamoylphosphat, das ein grosses Gruppenübertragungspotential hat, reagiert mit Aspartat zu Carbamoyl-Aspartat, das in einer Gleichgewichtsreaktion zu Dihydroorotat zyklisiert (Enzym: Aspartat-Transcarbamoylase). Dieses wird zu Orotat dehydriert (Enzym: Dihydroorotase).

2. Orotat reagiert mit 5-Phosphoribosyl-1-Diphosphat (PRPP) zum Orotidin-5'-Phosphat welches zum Uridin-5'-Phosphat (UMP) decarboxyliert wird.

3. Phosphorylierung zum UTP durch Kinasen. Die anderen Nukleotide (CTP und TTP) bzw. deren Desoxyribose-Derivate dCTP und dTTP für die DNA gehen aus Uridin-Derivaten hervor!

Abbau: der Ring wird partiell hydriert und zwischen N-3 und C-4 hydrolytisch geöffnet. Da jedoch bei der Synthese zwischen Orotsäure und Uridin CO2 abgespalten wurde, erscheint als Abbauprodukt nicht Asparaginsäure sondern Alanin. Frei werdendes NH3 wird im Harnstoffzyklus zu Harnstoff weiter metabolisiert und so ausgeschieden.

Bildquelle: Karlson, Doenecke, Koolman:
"Kurzes Lehrbuch der Biochemie für Mediziner und Naturwissenschaftler",
Georg Thieme Verlag Stuutgart, 14. neubearbeitete Auflage 1994,
ISBN 3-13-357814-6


Synthese und Abbau der Purine
X
Die Biosynthese der Purine verläuft wesentlich umständlicher als diejenige der Pyrimidine. Die Synthese beginnt am Ribose-5-Phosphat-Teil des Nucleotids:

Ribose-5-Phosphat + ATP -> 5-Phosphoribosyl-1-Pyrophosphat (PRPP)

Die Synthese des Purinrinsystems beginnt mit einem NH3-Transfer:

Glutamin-Phosphoribosyl-PP-Amido-Transferase
PRPP + Glutamin + H2O -> 5-Phosphoribosyl-1-amin + Glutamat + PP

Diese Reaktion ist limitierend für die gesamte Purinsynthese und wird durch AMP und GMP gehemmt (Endprodukthemmung). Phosphoribosylamin wird darauf in mehreren Schritten in Inosinmonophosphat, und dieses in die Adenosin- und Guanosinmonophosphat überführt.

Abbau: Der Abbau wird in zwei Schritte unterteilt:

1. Von den Nukleotiden wird zuerst Phosphat (durch eine Phosphatase) und darauf der Riboserest durch eine Nucleosidphosphorylase abgespalten.

2. Auf die freien Purine und Nukleoside wirken nun zwei Enzyme: Desaminasen, die Amino-Purine in Oxy-Purine verwandeln und Xanthinoxidasen, die Hypoxanthin über Xanthin in Harnsäure ueberfuehren, welche ausgeschieden werden kann. Bei den meisten Säugern wird Harnsäure durch Uricase noch weiter zu Allantoin abgebaut. Dieser Schritt ist aber beim Menschen nicht möglich, da das Enzym Uricase fehlt.



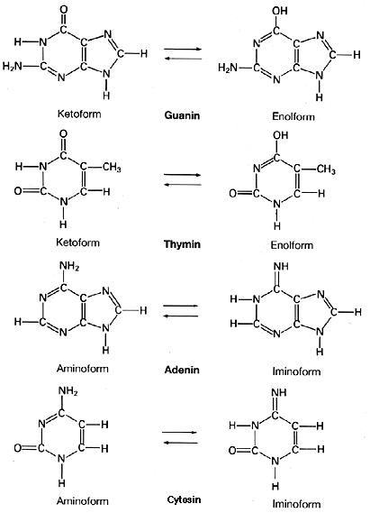
Tautomere Formen der Basen

Einer von vielen Gründen für eine Mutation, ist das Auftreten von tautomeren Formen der Basen. Man versteht darunter eine Veränderung der Basen, die spontan, aber mit kleiner Häufigkeit auftritt. Diese tautomere Form paart nun mit einer anderen Base, was zu einer Mutation führt, z.B.:

Normale Form Seltene tautomere Form
A (Amino) paart mit T A (Imino) paart mit C
C (Amino) paart mit G C (Imino) paart mit A
G (Keto) paart mit C G (Enol) paart mit T
T (Keto) paart mit A T (Enol) paart mit G

Tautomere sind Strukturisomere, die sich im Gleichgewicht befinden. Der Unterschied in den Strukturen kommt durch die Verschiebung eines Protons zustande. Das Gleichgewicht liegt stark auf der Seite der Amine und Ketone, ein kleiner Anteil Imine und Enole liegt jedoch auch vor. Die H-Brücken zwischen Basen brauchen einen H+-Donor und einen H+-Akzeptor. Liegt nun eine andere tautomere Form vor, weil sich ein Proton innerhalb einer Verbindung verschoben hat, dann verändern sich je nach Base Akzeptor bzw. Donor, und es können nicht mehr dieselben H+-Brücken aufgebaut werden.
Tautomere Formen
X
Bildquelle: Brown, Terence A.: "Moderne Genetik - eine Einführung",
Spektrum Akademischer Verlag 1993, ISBN 3-86025-180-5


Andere Möglichkeiten der Veränderung bieten zwei spontane chemische Reaktionen, die ernste DNA-Schäden in den Zellen bewirken können. Es sind die Desaminierung und die Depurinierung der Basen, bei denen entweder durch Abspaltung von Ammoniak eine andere Base entsteht (Desaminierung) oder aber die Base ganz vom Zucker abgespalten wird (Depurinierung).

Illustration
X
Bildquelle: Alberts et al,: "Molekularbiologie der Zelle", VCH, 2. Auflage 1990, ISBN 3-527-27983-0
und 3. Auflage 1995, ISBN 3-527-30055-4
des Reaktionsmechanismus

Alle Videos



Grundsätze der Molekularbiologie

Methoden der Molekularbiologie

Anwendungen der Molekularbiologie

Weitere Filme