Wie setzt sich RNA zusammen?


RNA ist eine heterogene Gruppe von Nukleinsäuren, deren Aufgabe es ist, Information in der DNA in Proteine umzusetzen. Die verschiedenen Klassen (tRNA, rRNA, hnRNA und mRNA) werden deshalb erst bei den Kapiteln "Transkription" und "Translation" genauer erläutert. Hier sei vorerst nur der allgemeine Bau aufgezeigt.

 

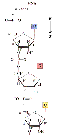
Die Ribonukleinsäure, kurz RNA, ist grundsätzlich gleich gebaut wie DNA, zeigt aber einige wichtige und interessante Unterschiede, welche zum Teil schon erwähnt worden sind:

als Zucker dient Ribose, nicht 2-Desoxyribose

die Pyrimidin-Base Uracil ersetzt Thymin. Alle andern Basen bleiben dieselben

RNA besteht (in der Regel) nur aus einem Einzelstrang; es treten aber intramolekulare Basenpaarungen auf, wobei sich Adenin mit Uracil, Guanin mit Cytosin paaren

Bildquelle

 

 

top


Menü:Struktur der DNA

 

zurück zu
Die Sekundärstruktur

zurück zu
Woraus besteht DNA?

weiter zu
Nukleoside und
Nukleotide